欢迎光临苏州爱尔玛特环保节能科技有限公司!联系电话:13776178696
网站地图
中文
|
ENG
网站首页
翅片管系列
换热器系列
翅片管规格
应用领域
新闻资讯
关于我们
联系我们
焊接翅片管
Product categories
焊接翅片管
激光焊翅片管
钢制翅片管
螺旋翅片管
无缝翅片管
换热翅片管
焊接翅片管
锅炉翅片管
碳钢翅片管
镶嵌翅片管
矩形翅片管
散热翅片管
暖气翅片管
工业翅片管
单金属翅片管
双金属翅片管
联系我们
苏州爱尔玛特环保节能科技有限公司
手机:0512-53371508
电话:0512-53371508
联系人:13776178696
邮箱:aiermat01@126.com
地址:太仓市城厢镇常胜北路33号10幢
您的位置:
首页
>>
翅片管系列
>>
焊接翅片管
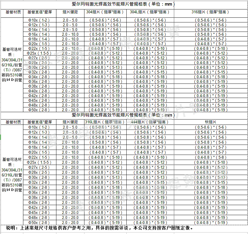
不锈钢激光焊接翅片管
苏州爱尔玛特环保节能科技有限公司
联系人:黄经理
手机:13776178696
电话:0512-53371508
邮箱:aiermat01@126.com
地址:太仓市城厢镇常胜北路33号10幢
微信二维码
产品详情
不锈钢激光焊接翅片管产品优势
一、工艺先进
引进德国原装进口全自动激光焊接机,翅片和基管焊透。焊透率越高、换热效率越高。金相分析
二、高性能,轻型化
激光焊接工艺可使用的基管壁厚最薄为1.0mm,翅片最薄为0.4mm,大大减少了热阻。独特的缠绕工艺可保证翅片间距最小为2.0mm,且翅片分布均匀、底部平整无褶皱,防止积灰,极大的提高了换热效率,比同规格的高频焊翅片管要节能30%以上。
三、专利制造
我公司专利研发制造的不锈钢激光焊接翅片管可将直管加工弯制成各种形状,满足客户的多种使用需求
上一篇:
焊接铜翅片管
下一篇:
整体焊接翅片管
相关产品推荐
余热锅炉螺旋翅片管
工业激光焊翅片管
碳钢激光焊翅片管
锅炉冷凝器激光焊螺旋翅片管
激光焊接翅片管
激光焊接螺旋翅片管
翅片管系列
激光焊翅片管
钢制翅片管
螺旋翅片管
无缝翅片管
换热翅片管
换热器系列
翅片管换热器
内翅片管换热器
大棚翅片管散热器
镀锌翅片管散热器
大型翅片管散热器
翅片管规格
翅片管规格
微信公众号
13776178696
业务经理:0512-53371508/黄经理
友情链接
自动点胶机
苏州印刷
介质损耗测试仪
蒙古包报价
推拉棚
蒙古包价格
耐力板
焊锡机
PC板加工
桐江阀门
流量计
PC板
雨棚
PC板
滤袋
高压风机
Copyright © 2020-2023 苏州爱尔玛特环保节能科技有限公司 All rights reserved 联系人:黄经理 地址:太仓市城厢镇常胜北路33号10幢 备案号:
苏ICP备20027618号
技术支持:
核心词专业优化
返回顶部
13776178696
0512-53371508
微信公众号